Statystyki dotyczące zdjęcia

690 KB

Identyfikator zdjęcia:38671
Rozmiar pliku:690 KB
Autor:Щукин Д.
Opublikowano:07.11.2013 21:41 MSK
Znajduje się na stronie (dni):4466
Wyświetleń:522
Komentarzy:0

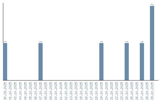
Dynamika wyświetleń (według dat)