Statystyki dotyczące zdjęcia

564 KB

Identyfikator zdjęcia:27786
Rozmiar pliku:564 KB
Autor:Никита Лапин
Opublikowano:05.07.2015 19:32 MSK
Znajduje się na stronie (dni):3920
Wyświetleń:516
Komentarzy:0

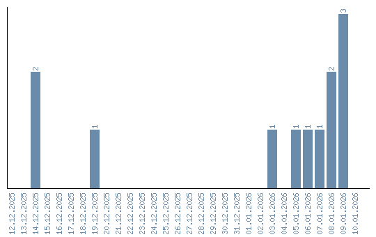
Dynamika wyświetleń (według dat)