Statystyki dotyczące zdjęcia

794 KB

Identyfikator zdjęcia:268456
Rozmiar pliku:794 KB
Autor:Bahnbilder von W. and H. Brutzer
Opublikowano:15.01.2025 14:58 MSK
Znajduje się na stronie (dni):358
Wyświetleń:352
Komentarzy:0

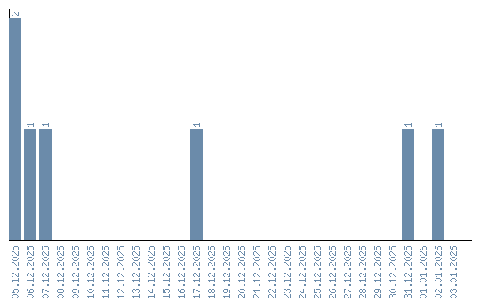
Dynamika wyświetleń (według dat)