Statystyki dotyczące zdjęcia

578 KB

Identyfikator zdjęcia:266502
Rozmiar pliku:578 KB
Autor:dm_admiral
Opublikowano:25.12.2024 21:43 MSK
Znajduje się na stronie (dni):400
Wyświetleń:349
Komentarzy:0

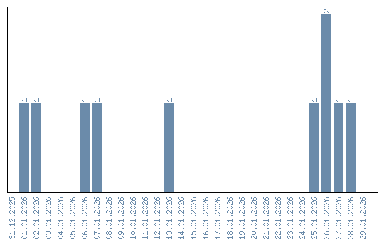
Dynamika wyświetleń (według dat)