Statystyki dotyczące zdjęcia

641 KB

Identyfikator zdjęcia:263570
Rozmiar pliku:641 KB
Autor:Дмитрий Строкань
Opublikowano:23.11.2024 11:48 MSK
Znajduje się na stronie (dni):349
Wyświetleń:515
Komentarzy:2

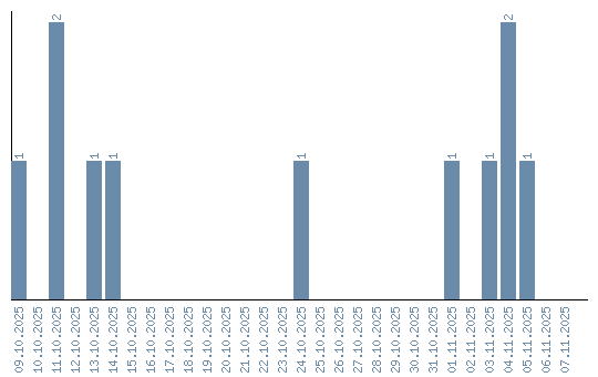
Dynamika wyświetleń (według dat)