Statystyki dotyczące zdjęcia

750 KB

Identyfikator zdjęcia:261814
Rozmiar pliku:750 KB
Autor:Воздух Свободы
Opublikowano:03.11.2024 20:50 MSK
Znajduje się na stronie (dni):477
Wyświetleń:468
Komentarzy:0

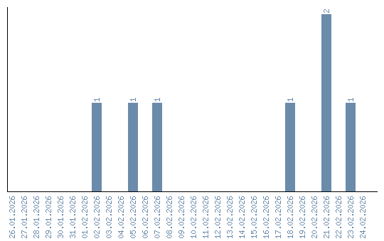
Dynamika wyświetleń (według dat)