Statystyki dotyczące zdjęcia

495 KB

Identyfikator zdjęcia:260603
Rozmiar pliku:495 KB
Autor:Navi
Opublikowano:25.05.2012 00:24 MSK
Znajduje się na stronie (dni):5023
Wyświetleń:155
Komentarzy:0

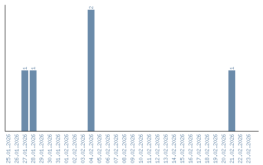
Dynamika wyświetleń (według dat)