Statystyki dotyczące zdjęcia

686 KB

Identyfikator zdjęcia:248574
Rozmiar pliku:686 KB
Autor:AlexxDrozD
Opublikowano:11.06.2024 19:08 MSK
Znajduje się na stronie (dni):627
Wyświetleń:542
Komentarzy:0

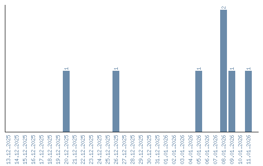
Dynamika wyświetleń (według dat)