Statystyki dotyczące zdjęcia

746 KB

Identyfikator zdjęcia:246699
Rozmiar pliku:746 KB
Autor:Воздух Свободы
Opublikowano:27.05.2024 22:06 MSK
Znajduje się na stronie (dni):681
Wyświetleń:518
Komentarzy:0

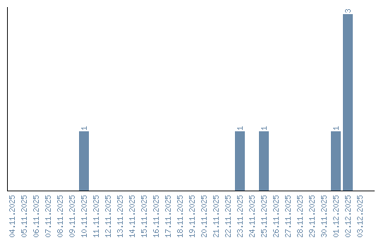
Dynamika wyświetleń (według dat)