Statystyki dotyczące zdjęcia

723 KB

Identyfikator zdjęcia:245385
Rozmiar pliku:723 KB
Autor:Sergio76
Opublikowano:13.05.2024 00:01 MSK
Znajduje się na stronie (dni):661
Wyświetleń:586
Komentarzy:0

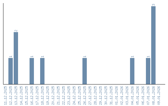
Dynamika wyświetleń (według dat)