Statystyki dotyczące zdjęcia

680 KB

Identyfikator zdjęcia:238920
Rozmiar pliku:680 KB
Autor:DR1A
Opublikowano:04.03.2024 09:38 MSK
Znajduje się na stronie (dni):614
Wyświetleń:634
Komentarzy:0

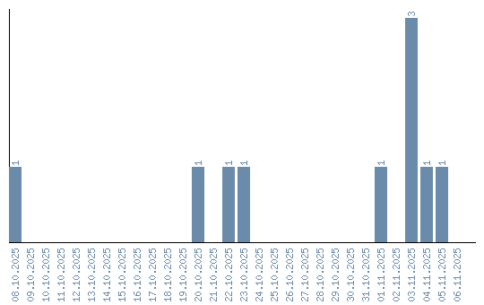
Dynamika wyświetleń (według dat)