Statystyki dotyczące zdjęcia

441 KB

Identyfikator zdjęcia:231363
Rozmiar pliku:441 KB
Autor:2M62
Opublikowano:14.08.2012 21:38 MSK
Znajduje się na stronie (dni):4940
Wyświetleń:546
Komentarzy:0

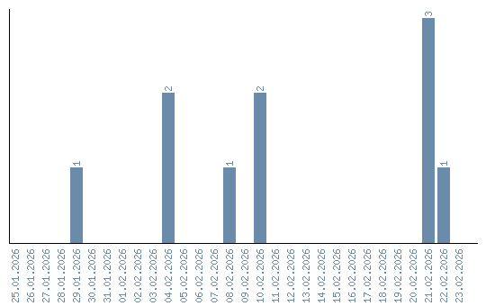
Dynamika wyświetleń (według dat)