Statystyki dotyczące zdjęcia

996 KB

Identyfikator zdjęcia:229722
Rozmiar pliku:996 KB
Autor:Valdemar
Opublikowano:14.11.2023 22:42 MSK
Znajduje się na stronie (dni):859
Wyświetleń:734
Komentarzy:0

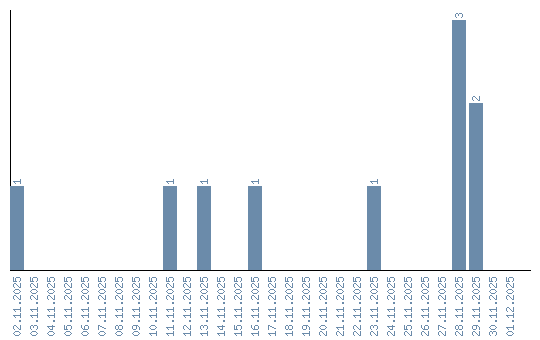
Dynamika wyświetleń (według dat)