Statystyki dotyczące zdjęcia

959 KB

Identyfikator zdjęcia:228330
Rozmiar pliku:959 KB
Autor:Воздух Свободы
Opublikowano:01.11.2023 20:31 MSK
Znajduje się na stronie (dni):875
Wyświetleń:363
Komentarzy:0

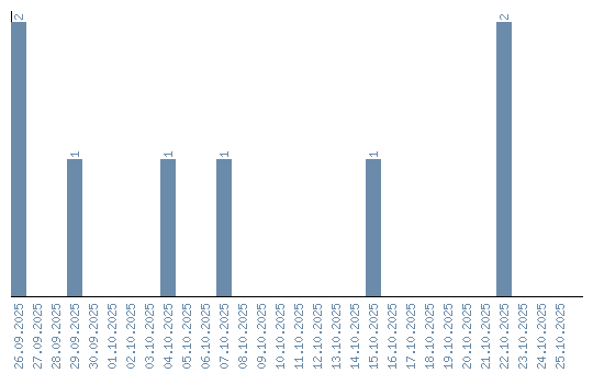
Dynamika wyświetleń (według dat)