Statystyki dotyczące zdjęcia

547 KB

Identyfikator zdjęcia:222027
Rozmiar pliku:547 KB
Autor:SHOMAS4416
Opublikowano:06.07.2016 16:59 MSK
Znajduje się na stronie (dni):3481
Wyświetleń:273
Komentarzy:1

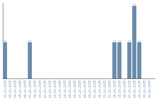
Dynamika wyświetleń (według dat)