Statystyki dotyczące zdjęcia

628 KB

Identyfikator zdjęcia:219671
Rozmiar pliku:628 KB
Autor:Роман Черинов
Opublikowano:30.08.2019 17:22 MSK
Znajduje się na stronie (dni):2347
Wyświetleń:367
Komentarzy:0

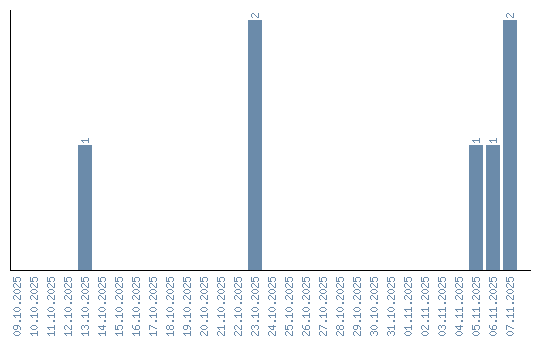
Dynamika wyświetleń (według dat)