Statystyki dotyczące zdjęcia

743 KB

Identyfikator zdjęcia:216906
Rozmiar pliku:743 KB
Autor:Sergio76
Opublikowano:05.07.2023 23:12 MSK
Znajduje się na stronie (dni):956
Wyświetleń:548
Komentarzy:0

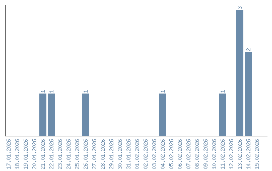
Dynamika wyświetleń (według dat)