Statystyki dotyczące zdjęcia

425 KB

Identyfikator zdjęcia:21263
Rozmiar pliku:425 KB
Autor:А. Тимохин
Opublikowano:18.03.2022 20:56 MSK
Znajduje się na stronie (dni):1500
Wyświetleń:1040
Komentarzy:1

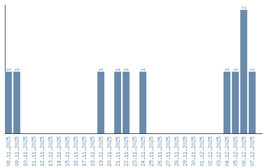
Dynamika wyświetleń (według dat)