Statystyki dotyczące zdjęcia

336 KB

Identyfikator zdjęcia:20317
Rozmiar pliku:336 KB
Autor:RiV
Opublikowano:17.03.2022 09:31 MSK
Znajduje się na stronie (dni):1436
Wyświetleń:629
Komentarzy:0

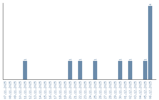
Dynamika wyświetleń (według dat)