Statystyki dotyczące zdjęcia

597 KB

Identyfikator zdjęcia:173910
Rozmiar pliku:597 KB
Autor:А. Белоусов
Opublikowano:03.09.2022 23:14 MSK
Znajduje się na stronie (dni):1268
Wyświetleń:515
Komentarzy:0

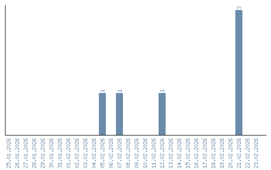
Dynamika wyświetleń (według dat)