Statystyki dotyczące zdjęcia

862 KB

Identyfikator zdjęcia:170188
Rozmiar pliku:862 KB
Autor:Никита Лапин
Opublikowano:17.08.2022 16:02 MSK
Znajduje się na stronie (dni):1286
Wyświetleń:960
Komentarzy:3

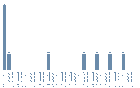
Dynamika wyświetleń (według dat)