Statystyki dotyczące zdjęcia

778 KB

Identyfikator zdjęcia:167424
Rozmiar pliku:778 KB
Autor:Роман Черинов
Opublikowano:03.08.2022 08:35 MSK
Znajduje się na stronie (dni):1296
Wyświetleń:721
Komentarzy:0

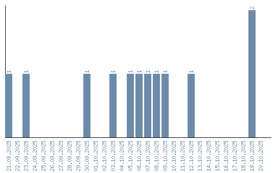
Dynamika wyświetleń (według dat)