Statystyki dotyczące zdjęcia

724 KB

Identyfikator zdjęcia:159758
Rozmiar pliku:724 KB
Autor:Воздух Свободы
Opublikowano:02.06.2015 16:19 MSK
Znajduje się na stronie (dni):3907
Wyświetleń:557
Komentarzy:7

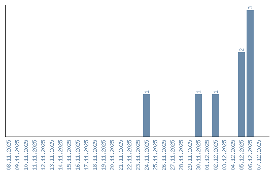
Dynamika wyświetleń (według dat)