Statystyki dotyczące zdjęcia

605 KB

Identyfikator zdjęcia:159312
Rozmiar pliku:605 KB
Autor:Воздух Свободы
Opublikowano:01.07.2022 13:53 MSK
Znajduje się na stronie (dni):1264
Wyświetleń:477
Komentarzy:0

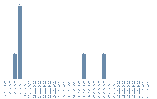
Dynamika wyświetleń (według dat)