Statystyki dotyczące zdjęcia

657 KB

Identyfikator zdjęcia:137818
Rozmiar pliku:657 KB
Autor:No_Name
Opublikowano:17.05.2022 20:52 MSK
Znajduje się na stronie (dni):1368
Wyświetleń:585
Komentarzy:0

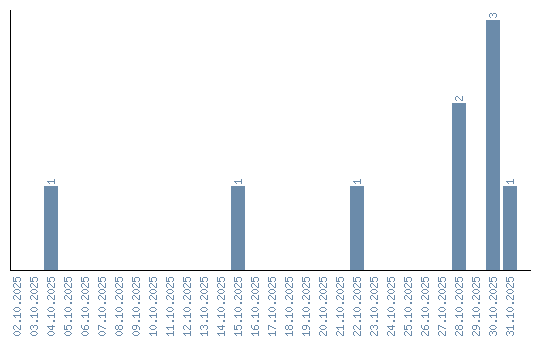
Dynamika wyświetleń (według dat)