Statystyki dotyczące zdjęcia

794 KB

Identyfikator zdjęcia:136999
Rozmiar pliku:794 KB
Autor:KvS
Opublikowano:23.04.2021 16:55 MSK
Znajduje się na stronie (dni):1803
Wyświetleń:815
Komentarzy:0

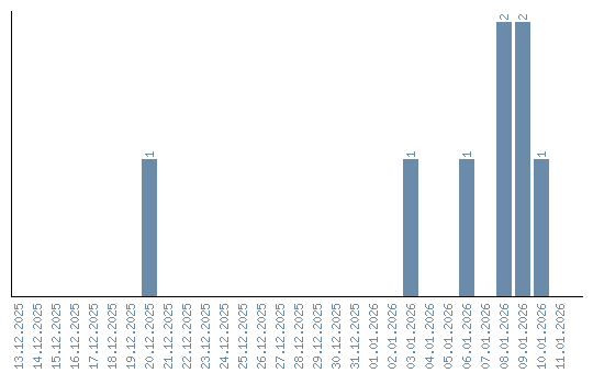
Dynamika wyświetleń (według dat)