Statystyki dotyczące zdjęcia

449 KB

Identyfikator zdjęcia:113209
Rozmiar pliku:449 KB
Autor:Василий Косов
Opublikowano:24.09.2017 17:07 MSK
Znajduje się na stronie (dni):3051
Wyświetleń:523
Komentarzy:1

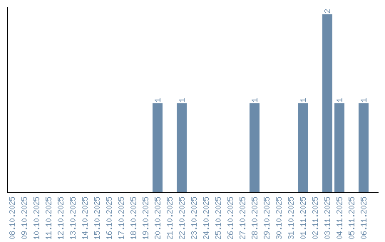
Dynamika wyświetleń (według dat)