Statystyki dotyczące zdjęcia

569 KB

Identyfikator zdjęcia:105695
Rozmiar pliku:569 KB
Autor:Копылов Н.О.
Opublikowano:22.08.2016 12:53 MSK
Znajduje się na stronie (dni):3458
Wyświetleń:431
Komentarzy:0

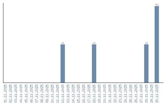
Dynamika wyświetleń (według dat)