Statystyki dotyczące zdjęcia

391 KB

Identyfikator zdjęcia:10455
Rozmiar pliku:391 KB
Autor:Romario
Opublikowano:24.09.2016 15:54 MSK
Znajduje się na stronie (dni):3491
Wyświetleń:551
Komentarzy:0

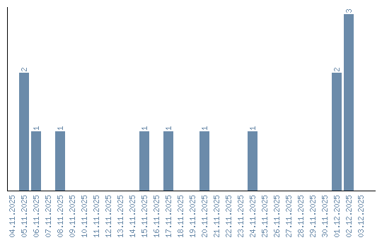
Dynamika wyświetleń (według dat)