Statystyki dotyczące zdjęcia

789 KB

Identyfikator zdjęcia:102984
Rozmiar pliku:789 KB
Autor:albo
Opublikowano:20.08.2020 07:47 MSK
Znajduje się na stronie (dni):2009
Wyświetleń:487
Komentarzy:0

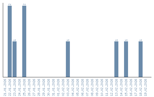
Dynamika wyświetleń (według dat)