Statystyki dotyczące zdjęcia

420 KB

Identyfikator zdjęcia:101599
Rozmiar pliku:420 KB
Autor:Phantom_3d
Opublikowano:27.10.2012 10:33 MSK
Znajduje się na stronie (dni):4918
Wyświetleń:572
Komentarzy:7

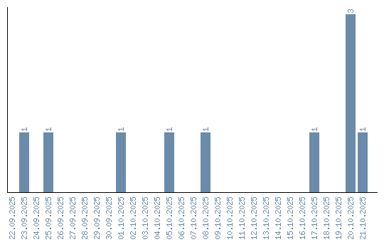
Dynamika wyświetleń (według dat)