სარკინიგზო მანქანების მონაცემთა ბაზა
მოდელები
სისტემების სია
დამატებითი
ფოტოკონკურსი
სხვადსხვა გალერეა
პირდაპირი
ჩანაცვლებული სურათები
საიტები
RG Клуб
კომენტარები
განახლებები
ახალი ფოტოები
სიახლეების სია
ყველა განახლება
დახმარება
საიტის წესები
უკუკავშირი
ძებნა
სურათების ძებნა
ტრანსპორტის ძებნა
კომენტარების ძებნა
ავტორების ძებნა
შესვლა
რეგისტრაცია
ქართული ენა
Русский
Polski
ქართული ენა
Hrvatski
English
Statistics about the image
Identifier of the image:
256584
File size:
776 KB
ავტორი:
Bahnbilder von W. and H. Brutzer
Published:
19.09.2024 18:55 MSK
Published on the website, days:
415
Unique views:
300
Comments:
0
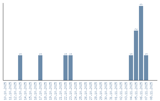
Views dynamics by dates
მთავარი გვერდი
წესები
სარედაქციო დაფა
მუქი თემა
© საიტის ადმინისტრაცია და სურათების ავტორები, 2022—2025
სურათების და სხვა ინფორმაციის გამოყენება ავტორის უფლების გარეშე აკრძალულია.