სარკინიგზო მანქანების მონაცემთა ბაზა
მოდელები
სისტემების სია
დამატებითი
ფოტოკონკურსი
სხვადსხვა გალერეა
Creative Photos
Technical Gallery
Modelling
People and Animals on Railway
პირდაპირი
ჩანაცვლებული სურათები
საიტები
RG Клуб
კომენტარები
განახლებები
ახალი ფოტოები
სიახლეების სია
ყველა განახლება
დახმარება
საიტის წესები
უკუკავშირი
ძებნა
სურათების ძებნა
ტრანსპორტის ძებნა
კომენტარების ძებნა
ავტორების ძებნა
შესვლა
რეგისტრაცია
ქართული ენა
Русский
Polski
ქართული ენა
Hrvatski
English
Statistics about the image
Identifier of the image:
165973
File size:
359 KB
ავტორი:
Artem_4775_
Published:
23.12.2013 21:49 MSK
Published on the website, days:
4407
Unique views:
411
Comments:
0
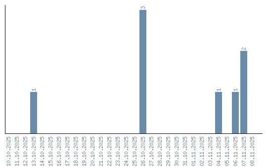
Views dynamics by dates
მთავარი გვერდი
წესები
სარედაქციო დაფა
მუქი თემა
© საიტის ადმინისტრაცია და სურათების ავტორები, 2022—2026
სურათების და სხვა ინფორმაციის გამოყენება ავტორის უფლების გარეშე აკრძალულია.