Statistics about the image

622 KB

Identifier of the image:129092
File size:622 KB
ავტორი:romik80
Published:06.12.2019 19:48 MSK
Published on the website, days:2311
Unique views:324
Comments:0

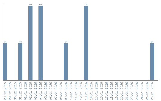
Views dynamics by dates