Statistics about the image

372 KB

Identifier of the image:114334
File size:372 KB
ავტორი:Shtaket
Published:13.12.2010 22:42 MSK
Published on the website, days:5558
Unique views:549
Comments:0

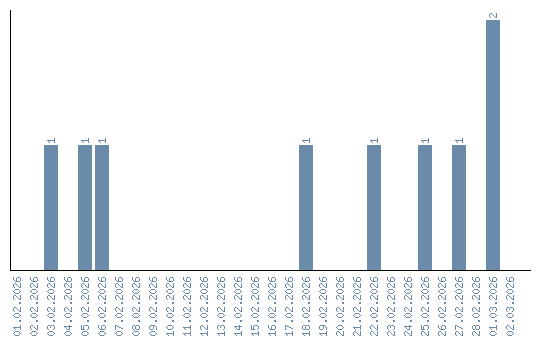
Views dynamics by dates