Statistics about the image

823 KB

Identifier of the image:42990
File size:823 KB
Autor:phoenix23r
Published:07.08.2021 21:48 MSK
Published on the website, days:1647
Unique views:484
Comments:0

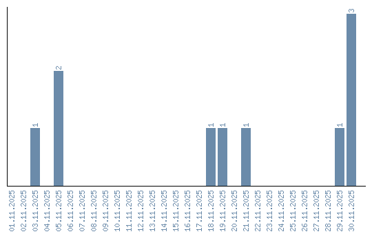
Views dynamics by dates