Statistics about the image

423 KB

Identifier of the image:32789
File size:423 KB
Autor:Typhoon
Published:28.07.2013 14:01 MSK
Published on the website, days:4515
Unique views:346
Comments:4

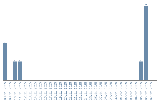
Views dynamics by dates