Statistics about the image

357 KB

Identifier of the image:23020
File size:357 KB
Autor:Машинист пивного крана
Published:22.03.2017 09:34 MSK
Published on the website, days:3328
Unique views:518
Comments:0

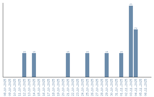
Views dynamics by dates