Statistics about the image

472 KB

Identifier of the image:10461
File size:472 KB
Autor:Romario
Published:24.12.2016 23:13 MSK
Published on the website, days:3357
Unique views:510
Comments:0

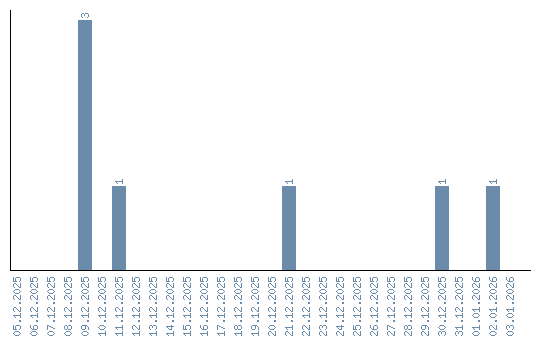
Views dynamics by dates