Statistics about the image

681 KB

Identifier of the image:90109
File size:681 KB
Author:Евгений Пашковский
Published:19.03.2017 10:54 MSK
Published on the website, days:3305
Unique views:513
Comments:5

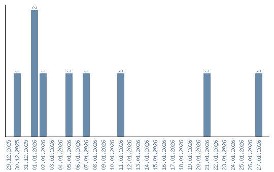
Views dynamics by dates