Statistics about the image

926 KB

Identifier of the image:61618
File size:926 KB
Author:Лагутин И.Б.
Published:30.01.2019 19:25 MSK
Published on the website, days:2542
Unique views:570
Comments:2

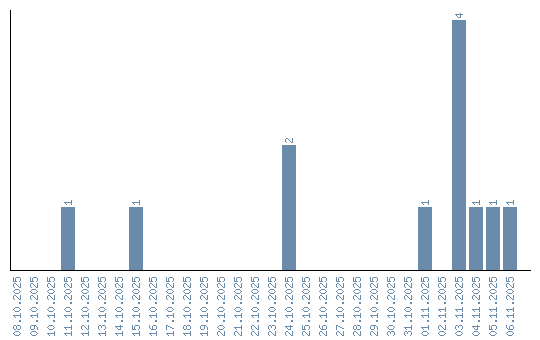
Views dynamics by dates