Statistics about the image

714 KB

Identifier of the image:250604
File size:714 KB
Author:Sergio76
Published:03.07.2024 21:54 MSK
Published on the website, days:515
Unique views:489
Comments:1

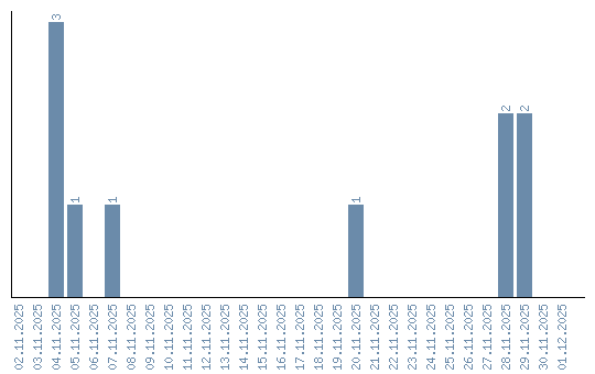
Views dynamics by dates