Statistics about the image

586 KB

Identifier of the image:23014
File size:586 KB
Author:Машинист пивного крана
Published:17.03.2017 18:40 MSK
Published on the website, days:3295
Unique views:671
Comments:1

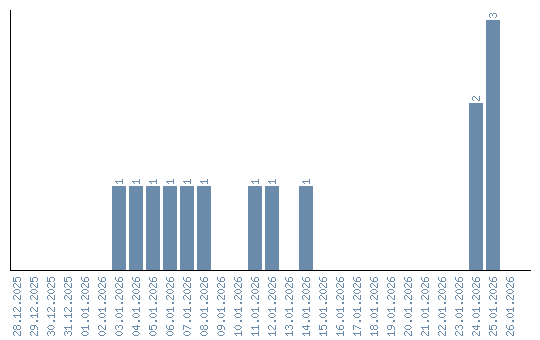
Views dynamics by dates