Statistics about the image

847 KB

Identifier of the image:216056
File size:847 KB
Author:egor_zhdanovich_
Published:24.06.2023 10:13 MSK
Published on the website, days:1040
Unique views:748
Comments:0

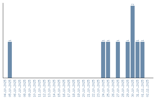
Views dynamics by dates