Statistics about the image

622 KB

Identifier of the image:210026
File size:622 KB
Author:Воздух Свободы
Published:06.04.2023 14:41 MSK
Published on the website, days:967
Unique views:495
Comments:1

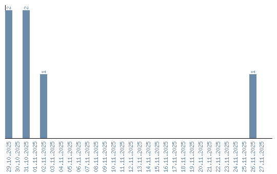
Views dynamics by dates