Statistics about the image

429 KB

Identifier of the image:185770
File size:429 KB
Author:Nexus Trafikk
Published:12.06.2015 17:33 MSK
Published on the website, days:3813
Unique views:377
Comments:0

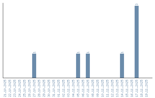
Views dynamics by dates