Statistics about the image

499 KB

Identifier of the image:177217
File size:499 KB
Author:ER2M605
Published:22.09.2022 09:30 MSK
Published on the website, days:1286
Unique views:906
Comments:0

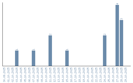
Views dynamics by dates