Statistics about the image

558 KB

Identifier of the image:1438
File size:558 KB
Author:Евгений Кусков
Published:01.03.2022 11:27 MSK
Published on the website, days:1466
Unique views:791
Comments:0

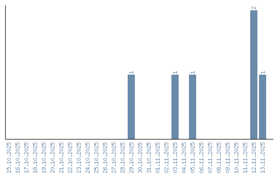
Views dynamics by dates